The yassification of Ozempic
ASK A SWOLE WOMAN
This is the paid Sunday Ask A Swole Woman edition of She’s a Beast, a newsletter about being strong mentally/emotionally/physically.
It’s the overall Tex-Avery-cartoon-wolf-heart-eyes tone of The Cut’s piece on Ozempic, titled “Life After Food?”, that would have gotten the younger version of me. Calling the foundations of body acceptance “rickety,” casting the value of feeling good as a “vagary” in the grand scheme of one’s relationship with one’s body. It would have been the supposed tooth-and-nail fights taking place to get enough of the drugs to mete out to keep the weight-loss train chugging (”pharmacies have struggled to keep them on hand”…"patients have been emailing frantically, nonstop, and are cutting their doses in half to stretch them out”…"it’s a bit like contraband”…”People are swarming their doctors”). The word “everyone” appears 12 times, usually representing the perception of a quoted non-expert source, (”everyone” was on it, “everyone” said she looked fabulous), though that would not have bothered me then as it does now.
It wouldn't have mattered that we are talking about a breathtakingly expensive class of injections.[^1] The scattered couched phrases and both-sides caveats (“they’re all shitting their brains out”…"These drugs are all intended for long-term use… she was nauseous, occasionally threw up, and had awful headaches“) only serve to underline the broader point: Hunger is something bad to resist; food is an indulgence to transcend; weight loss is good, and it’s normal, acceptable, desirable, even glamorous to suffer for it. The negative coverage would have faded into background noise in the presence of a seemingly swelling affluent crowd who understood my need to feel hot and accepted.
“Getting-skinnier discussions have become fraught… Everyone laments the ghouls of body dysmorphia and eating disorders and the pressure social media exerts on teens,” the article reads. “The discourse on bodies has changed since the days when a slender figure could be blithely and uncomplicatedly celebrated, sought, or advertised.” Ah yes! Sing in me, muse, of the days when a woman could peacefully undertake a good old-fashioned grapefruit-and-cottage-cheese diet without these pesky specters of “loving yourself” and “intersectional feminism”!
There isn’t any one thing that tips a person into disordered eating, or a full-blown eating disorder. It’s surely not a matter of being a normal person with a healthy, balanced attitude toward food and body, only to trip over a crack in the sidewalk one day and find yourself hopelessly fixated on the table bread that you fear, crave, and absolutely cannot bring yourself to eat the next.
However, there are plenty forces to normalize it.[^2] In my experience growing up in the late nineties and early-to-mid 2000s, the near-constant onslaught of diet product commercials, coverage of women celebrities that never neglected to mention their 1200-calorie diets and workout regimens, and the absolutely vicious criticism of women’s bodies literally regardless of their adherence to beauty standards absolutely did not help.

I never did win. There was no way to win. I was only being set up to play a game where it didn’t matter that the promised rewards—acceptance, success— were all fake; everyone figures this out eventually. It’s all just designed to run out the clock, to keep our eyes off the ball as we try to follow all the little rules.
I’ve been speaking to a lot of experts lately about finding the line of disordered behavior. It boils down to a degree of interpretation: Are you substantially preoccupied with whatever the thing is, especially if your access to or routine of it is interrupted? Then probably that thing has an unfair, problematic hold over you.
What made identifying my own disordered behavior difficult was, I only realized much later, that I had no baseline to find my way back to. What is pre-occupation, and what is simply “worrying about taking care of myself” like everyone (!) says I should? I was born into a dynamic of people-pleasing, remaining constantly on my toes to stay reactive to the unstable situation around me. I didn’t learn to identify, process, or honor my own feelings or well-being. And all the noise outside my home life about how women should look, think, or feel validated this. I believed that constant tension and anxiety about how I looked, about doing enough to gain other people’s acceptance, were just facts of being alive. I did swear for a long time that I was fine. I reacted to anyone who expressed concern as if they were crazy. In the vortex of my worldview, I also felt that “everyone” oriented their priorities as I did.
There is a point where personal preoccupation shades into “so much cultural pressure that someone has no choice but to be preoccupied.” This is where it all becomes shitty. No one described in the article feels the way they do for the hell of it, or because it’s fun, or because they gazed upon all the ways to feel and picked this one. But they feel this way, ironically, in part because of articles like this.[^3] “Everyone,” “they all” agree: You are bad for being the way you are.

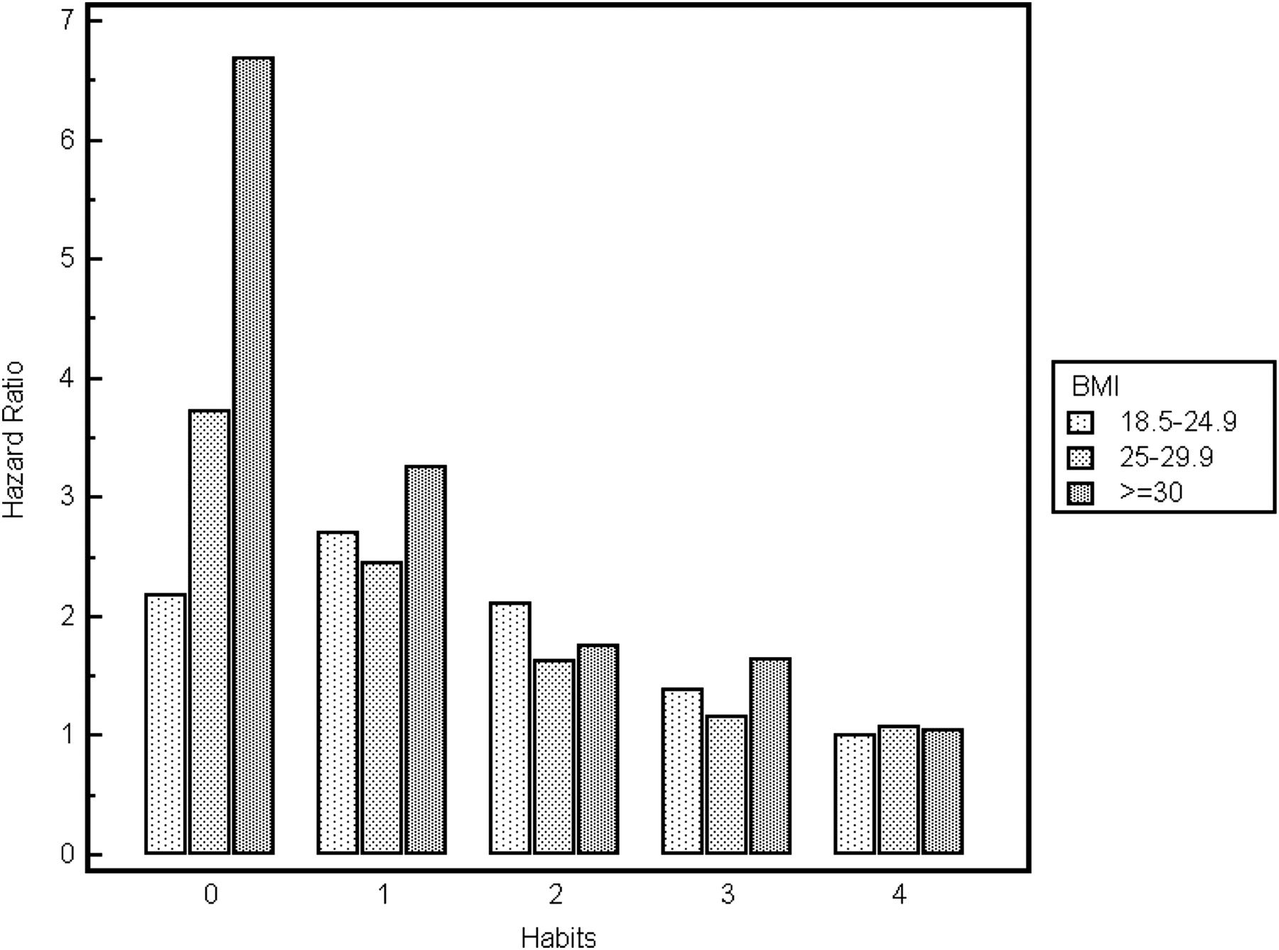
But even if you want to be the “fat people are a pox on our healthcare system” police, well buckle up, because more body weight in general is simply not the death sentence it’s so commonly framed to be. “70 percent of America [is] now overweight or clinically obese,” the article notes, crestfallen. It affects the tragically retrograde position that one of the main reasons a lower body weight is desirable is that it is always de facto healthier than a higher one. But the fixation on weight as the sole arbiter of health is harmful to everyone, even and maybe especially the fashionably waiflike, because the idea that lower weight equals better health is straight up not true.[^4] If you want to play the game of “he who lives longest, wins”—not a good game at all, to me, but many are fixated on it nonetheless—studies (and not just the oft-vilified work of Katherine Flegal) show that overweight, not normal-weight, people have the lowest mortality risk.[^5]
It is especially untrue when we control for basic healthy habits like smoking, diet, drinking, and exercise. A skinny person who never eats a vegetable, drinks, smokes, and doesn’t exercise has a higher mortality risk than almost anyone of any weight who does the opposite. Even anyone of almost any weight who checks only two of those healthy-habits boxes has a lower mortality risk than the skinny person who checks zero.
More to the point, as these habits are layered in, the difference in mortality risk between the three studied weight classes levels out until it virtually disappears with all four healthy-habits boxes checked. There are many recent publicly available studies that advocate for a “weight-inclusive” versus “weight-normative” approach to health in our modern times. This is not because they have been cowed into completely ignoring physical reality by some imagined Health At Any Size mafia, but because the results are better; it actually produces healthier, happier people. But why bring oneself up to speed on these things when one can instead focus on all the worst ways to bring the 90s back?

More to the point, if the “treatment” of weight alone as a means of health were going to work, it would have worked by now. If higher body weight were so preventable as matter of personal healthy choices, we’d be preventing it. We have been hammering this concern for most of my life. No one is healthier for it. If anything, things are worse. Like every aggressive diet technique before it, it appears this class of drugs may cause people to lose precious muscle along with fat. [Drags out the avocado diagrams for the millionth time](Edit: more here.)
As the article even notes, these drugs don’t work for long-term weight loss unless they are taken indefinitely. That doesn’t stop the piece from trying to have things both ways, humoring its sources by calling the drugs “well-tolerated," only to note as asides the alarming/purposeful side effects (”shitting [one’s] brains out,” nausea, vomiting, headaches). It doesn't challenge any source directly when they long for the day when they can “go off” the drugs, with the fact that oh, by the way, as the article states at the very end, “a recent study funded by the company acknowledged that cessation of semaglutide treatment led study participants to regain most of the weight they had lost within a year.”
It’s presumptuous of this article, which fails to treat so many aspects of this topic with appropriate skepticism, to declare the body positivity experiment over wholesale, on the basis of its shivering and shaking “all the girlies are taking Ozempic” premise. Imagine having so narrow a conception of politics, of bodily existence, that the world cannot possibly contain people with a BMI over 25 who are entitled to some basic amount of self-acceptance, and Adele, who lost weight over a period of multiple years concurrent with a number of habit changes that would have impacted that, regardless of whatever drugs someone wants to cheekily imply she took. “How quickly we’ve abandoned our contortions and commitments to acceptance as soon as a silver bullet comes around, and how fulfilling some seem to find it to be the thing they swore they’d overcome,” it reads. Who is “we,” in this sentence? The same “everyone” who is on these drugs?

Body positivity or neutrality isn’t and never was a destination, as it’s sure as hell not a set of goalposts some guy on the Internet gets to move wherever needed in order to taunt people who don’t live up to today’s definition of behavioral purity. It’s a practice everyone is entitled to, to which many people have unequal access, thanks again, in part, to articles like this.
“Well, being anything but normal weight, all things being equal, IS potentially a health risk, even if a tiny one,” goes the classic argument. “Besides, thinner people are hotter and receive more clout in life. We must all play the game. What is wrong with spectating the spectacle of the game?” Well—because spectating on the basis of an outdated, judgmental, deeply cynical worldview does nothing except affirm the moral (if not physical 70%!) majority. It does zero to move the status quo. The sum-total effect is, at best, to superficially sympathize with everyone who feels they have no choice but to participate in the circus of constantly losing weight. At worst, it points and laughs at the people who bump and scrape along the bottom of the floor of the ocean where we are all swimming frantically, trying to keep up.
The SEO headline, as we call it in the biz (the one that appears when the article shows up in Google results) given to this piece is “Ozempic Is Changing the Definition of Being Thin.” I don’t think much has changed at all.
Further reading
- She's A Beast, The hidden problem of muscle loss x weight loss drugs
- Marquisele Mercedes, Wegovy Isn’t A “Game Changer”, But An Update.
- Wired, A New Drug Switched Off My Appetite. What’s Left?
- The Cut, Mounjaro and Me
- Glamour, Weight-Loss Drugs, Thin Worship, and Crash Diets: The Unwelcome Return of Eating Disorder Culture
- Vox, Obesity in the age of Ozempic
Studies/journal publications
- Eric M. Matheson et al, Healthy Lifestyle Habits and Mortality in Overweight and Obese Individuals, 2012
- Daniel L. McGee, Body mass index and mortality: a meta-analysis based on person-level data from twenty-six observational studies, 2005
- Kenneth F. Adams et al, Overweight, Obesity, and Mortality in a Large Prospective Cohort of Persons 50 to 71 Years Old, 2006
- Katherine M. Flegal et al, Cause-Specific Excess Deaths Associated With Underweight, Overweight, and Obesity, 2007
- Kevin D. Hall et al, Maintenance of Lost Weight and Long-Term Management of Obesity, 2018
- Carla Iacobini et al, Metabolically healthy versus metabolically unhealthy obesity, 2019
- Tracy L Tylka et al, The Weight-Inclusive versus Weight-Normative Approach to Health: Evaluating the Evidence for Prioritizing Well-Being over Weight Loss, 2014
[F1] This weight loss drug era, in which I include all the Ozempic/Wegovy/Mounjaro/semaglutides/tirazepatides (I know there are some differences) is not going to be over for a while: On Friday, Britain's National Institute for Health and Care Excellence announced that Wegovy will cost only $88 for a month’s worth of injections in the U.K.
[F2] While I feel "Life After Food Question Mark" very efficiently exemplifies all that can be wrong with diet culture coverage, it’s far from the only breathless “we solved weight loss with a drug!” article; see here, here, here, here, here, and here. This is a more balanced piece. This is an insightful piece.
[F3] Just as my sense of this article is that it is Tex-Avery-cartoon-wolf-heart-eyes toward the mirage of easy-button weight loss that these companies are selling, my sense is likewise that the writer did not write this with some sort of sicko intent to target vulnerable people like I once was. Not unlike this New York Times piece from another writer hyper-fixated on weight loss and the innate value of smaller bodies who had clearly internalized so many values of diet culture, he comes off as out over his skis as a product of this world, as we all are, though we all also fall on a spectrum of how we are affected by it.
[F4] I’m not going to be the one the deny that body weight never, ever, ever correlates with a greater incidence of health issues. Even the podcast Maintenance Phase reached the same conclusion in its “Is Being Fat Bad for You?” episode. I’m also not about to throw out the “lived experience of fat people” baby out with the weight-loss-drug bathwater. But the article scarcely concerns itself with that aspect of things, and I’m not the authority on it, so I won’t linger there either, except to say that, to my broader point, these are not absolute all-or-nothing matters.
[F5] Sure, one study, or even a handful of them, are not the be-all end-all of any debate. But I see people equating weight with health almost exclusively, and see people bringing any further nuance into that conversation almost zero. I WONDER WHY
Member discussion